МАН-ын дэргэдэх залуучуудын холбоо буюу одоогийн НАМЗХ-нд өдгөө “хэрүүлийн буг” үүрлэчихээд байна. Учрыг нь тайлбал НАМЗХ-ын Ерөнхийлөгч Л.Оюун-Эрдэнэ 2013 онд АНУ-д Харвардын Их сургуульд сурахаар явахдаа НАМЗХ-ны Ерөнхийлөгчийн түр орлон гүйцэтгэгчээр УИХ-ын гишүүн Н.Номтойбаярыг томилжээ. Гэвч өнгөрсөн шинэ жилээр болсон “Алтан сарнай” наадмын үеэр Н.Номтойбаяр өөрийгээ Ерөнхийлөгчийн түр орлон гүйцэтгэгч бус Ерөнхийлөгч гэх болсон нь хэрүүлийн эхлэл болжээ. Түүгээр ч барахгүй оны эхээр НАМЗХ-ын ээлжит бус бага хурлыг хуралдуулан, Л.Оюун-Эрдэнийг чөлөөлж, өөрсдийгөө жинхлэхээр түрэмгийлсэн нь зөрчилийг улам хурцдуулсан хэрэг. Гэхдээ тэд бага хурал гэгчээр ойлголцолд хүрч, НАМЗХ-ы Ерөнхийлөгчийг их хурлаараа сонгохоор болж, Уул Уурхайн дэд сайд Г.Тэмүүлэнг НАМЗХ-ы ЕНБДаргаар томилж, их хурлыг зохион байгуулах ажлын хэсгийг ахлуулсан. Гэсэн ч Г.Тэмүүлэн Н.Номтойбаярын талд илт ажиллан, Их хурлын төлөөлөгчдийг өөрийн хүмүүсээр бүрдүүлэхээр ажиллаж эхэлсэн нь Л.Оюун-Эрдэнийг дургүйг хүргэж өөрийн нутгийн дүү нар гэх хэсэг хүүхдүүдээр Уул Уурхайн Яамны гадаа Г.Тэмүүлэнгийн эсрэг жагсаал хийлгэж байсан нь саяхан.
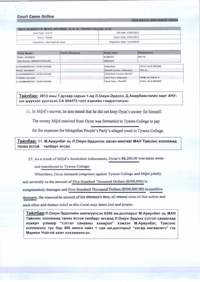
Өдгөө энэ зөрчил нэгэнт даамжирч, нэг нэгнийгээ хэвлэлээр дайрч эхэллээ. Хэдхэн хоногийн өмнө НАМЗХ-ын хуучин Ерөнхийлөгч Л.Оюун-Эрдэнийг АНУ-д сурч байх үедээ залилан хийсэн гэх мэдээлэл салхинд хийссэн гал мэт тархав. Тус мэдээлэлд Л.Оюун-Эрдэнэ, Д.Амарбаясгалан хоёр МАН болоод НАМЗХ-ны нэрийг барьж бусдыг залилж, айлган сүрдүүлж, бүр их хэмжээний мөнгө нэхэмжилсэн тухай өгүүлжээ. Тэд АНУ-ын Тайсон коллеж болоод түүний төлөөлөгч М.Ариунбатыг чамгүй сайн хохироосон аж. Эрхэм Ерөнхийлөгч нар анх 2011 онд М.Ариунбаттай танилцаж, НАМЗХ-ныхоо туг тэмдгийг гардуулж, түүнийг АНУ дахь албан ёсны төлөөлөгчөө болгожээ. Ингээд тэд М.Ариунбатаас НИТХ-ын төлөөлөгч болон МАН-ын гишүүдэд зориулж Тайсон коллеж дээр сургалт явуулж өгөхийг хүсч, урилга, визээ ч гаргуулсан аж. Энэ үед Л.Оюун-Эрдэнэ 8200 ам.долларыг М.Ариунбатад шилжүүлсэн байна. Гэтэл хэсэг хугацааны дараа Л.Оюун-Эрдэнэ уг мөнгийг М.Ариунбатаас буцаан авахыг хүсчээ. М.Ариунбат нь шилжүүлсэн мөнгийг аль хэдийнэ гүйцэтгэсэн ажлынхаа төлбөр болгож, Тайсон руу шилжүүлсэн байж.
Энэ маргаанаас үүдэж, Л.Оюун-Эрдэнэ, Д.Амарбаясгалан нар М.Ариунбат болоод түүний гэр бүлийг айлган сүрдүүлж, Монголд байгаа ах дүүсийг чинь насаар нь хохирооно, ална хэмээн зүй бус авирласан гэнэ. Түүгээр ч барахгүй сэтгэл санааны хохирол хэмээн М.Ариунбат болон Тайсон коллежоос нэг сая мянган ам.доллар нэхэмжилж, Хятад өмгөөлөгчөөр багагүй дарамтлуулсан аж. Тэдний луйвар үүгээр дууссангүй. АНУ-ын ЭСЯ-ыг хулхидахыг завдсан байна. Тэд Тайсон коллежийн захирал Мэхди Банай, МАН-ын дарга асан Ө.Энхтүвшин нарын гарын үсгийг хуурамчаар үйлдэж, 20 гаруй хүний виз хүссэн аж. Харин үүнийг нь коллежийн захирал болоод тухайн үеийн МАН-ын дарга Ө.Энхтүвшин нар үгүйсгэснээр асуудал хар тэмдэгтэйгээр дуусчээ.
Уг нь МАН-ын залуучуудын талаар иймэрхүү ноцтой зүйл дуулдаад байдаггүй. Учир нь тэд намынхаа дотоод асуудлын талаар барагтай л ам ангайдаггүй. Харин иймэрхүү эгзэгтэй цаг үед ялангуяа хэрүүлийн үед хуучин Ерөнхийлөгч Л.Оюун-Эрдэнийн талаар таагүй мэдээлэл түгж байгаа нь өрсөлдөгч Н.Номтойбаяртай холбоотой гэж хардах хүмүүс ч байна. Түүнийг луйвар хийдэг, намын даргынхаа гарын үсгийг хуурамчаар үйлддэг, хамгийн ноцтой нь АНУ-ын ЭСЯ-ыг хулхидахыг завдсан гэх мэдээлэл тархах нь Н.Номтойбаярт ашигтай. Тиймээс ч түүнийг өрсөлдөгчийнхөө талаар таагүй мэдээллийг задруулж, МАН-ын дотоод эв нэгдлийг эсрэг үйл ажиллагаа явуулж байгаа хэмээн хардах хүн цөөнгүй байна.
www.chuhal.mn
Өглөө.мн Шинэ өглөө, Шинэ мэдээлэл




